Back to all pathways
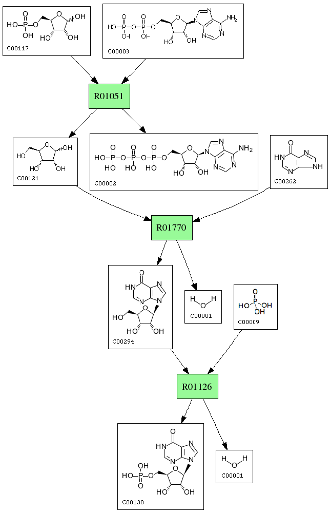
Sources: D-Ribose 5-phosphate; (C00117)
Target:IMP; (C00130)
Z: 0.5
Composite map: C00117->C00130:[10->8,12->3,6->17,7->12,8->13]
Showing 1 best reactions for each rpair.
| RPAIR | Reaction | Score | Seq1 | Seq2 | Evalue | ECs | Equation |
|---|---|---|---|---|---|---|---|
| RP01257 | R01051 | 188 | TRIRE0055245 | O60116|RBSK_SCHPO | 1e-47 | 2.7.1.15 | D-Ribose + ATP; <=> D-Ribose 5-phosphate; + ADP; |
| RP01744 | R01770 | 125 | TRIRE0021663 | Q8XE94|RIHB_ECO57 | 1e-28 | 3.2.2.8 | Inosine + H2O; <=> Hypoxanthine; + D-Ribose |
| RP00466 | R01126 | 246 | TRIRE0050593 | P21589|5NTD_HUMAN | 1e-64 | 3.1.3.5 | H2O; + IMP; <=> Inosine + Orthophosphate; |
| RP00175 | R01770 | 125 | TRIRE0021663 | Q8XE94|RIHB_ECO57 | 1e-28 | 3.2.2.8 | Inosine + H2O; <=> Hypoxanthine; + D-Ribose |
Pathway diagram (see pathway with molecule structures instead)
