next up previous contents
Next: The structure of the Up: The model Previous: The approximating posterior distribution   Contents


Combining the two models

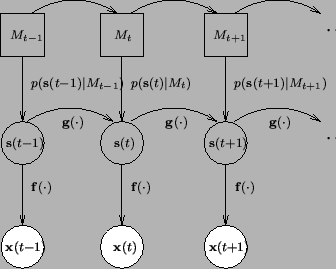
As we saw in Section 4.3, there are several possible ways to combine the HMM and the NSSM. The approach with switching dynamics seems more reasonable, so we shall concentrate on it. Hence the illustration of the NSSM in Figure 5.1 is augmented with the discrete HMM states to get Figure 5.2.

Figure 5.2: The switching nonlinear state-space model.
\includegraphics[width=.6\textwidth]{pics/ndfa_hmm_model}

In the linear models, switching dynamics are often implemented by having a completely separate dynamical model for every HMM state. This is of course the most general approach. In the linear case such an approach is possible because of the simplicity of the individual linear models needed for each state. Unfortunately this is not so in the nonlinear case. Using more than just a few nonlinear models makes the system computationally far too heavy for any practical use.

To make things at least a little more computationally tractable, we use only one nonlinear mapping to describe the dynamics of all the states. Instead of own dynamics, every HMM state has its own characteristic model for the innovation process i.e. the description error of the dynamical mapping.



Subsections
next up previous contents
Next: The structure of the Up: The model Previous: The approximating posterior distribution   Contents
Antti Honkela 2001-05-30